ГДЗ по геометрии 9 класс Зив дидактические материалы Контрольные работы К-1. Варианты - 1

ГДЗ по геометрии 9 класс  Зив дидактические материалы  Контрольные работы К-1. Варианты - 1

Автор: .

Издательство: Просвещение 2015-2023

Тип: Дидактические материалы

Подробный решебник (ГДЗ) по Геометрии за 9 (девятый) класс дидактические материалы - готовый ответ Контрольные работы К-1. Варианты - 1. Авторы учебника: Зив. Издательство: Просвещение 2015-2023.

Условие / Контрольные работы / К-1. Варианты / 1

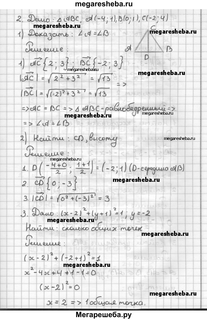
К—1 Вариант 1 1. Даны точки А( 1; -2), В(2; 4), С(-1; 4), D( 1; 16). 1) Разложите вектор АВ по координатным векторам i и у. 2) Докажите, что АВ || C.D. 3) Напишите уравнение прямой A.D. 2. Треугольник ABC задан координатами своих вершин: А(-4; 1), В(0; 1), С(-2; 4). 1) Докажите, что ∠A = ∠B. 2) Найдите длину высоты CD треугольника ABC. 3. Сколько общих точек имеют линии, заданные уравнениями (х - 2)2 + (у + I)2 = 1 и у = -2? 4*. Даны векторы а {-4; 3}, b {1; -4}, с {6; 2}. Разложите вектор с по векторам а и о.

Решебник / Контрольные работы / К-1. Варианты / 1

Другие номера из решебника

Оцените решебник:

4.4/5
Количество оценивших 69