ГДЗ по геометрии 9 класс Зив дидактические материалы Контрольные работы К-1. Варианты - 3

ГДЗ по геометрии 9 класс  Зив дидактические материалы  Контрольные работы К-1. Варианты - 3

Автор: .

Издательство: Просвещение 2015-2023

Тип: Дидактические материалы

Подробный решебник (ГДЗ) по Геометрии за 9 (девятый) класс дидактические материалы - готовый ответ Контрольные работы К-1. Варианты - 3. Авторы учебника: Зив. Издательство: Просвещение 2015-2023.

Условие / Контрольные работы / К-1. Варианты / 3

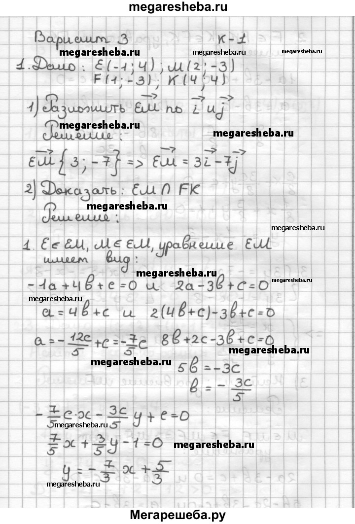
К—1 Вариант 3 1. Даны точки Е{-1; 4), М(2; -3), -3) и К (4; 4). 1) Разложите вектор ЕМ по координатным векторам i и J. 2) Докажите, что ЕМ пересекает FK. 3) Напишите уравнение прямой MF. 2. Треугольник ABC задан координатами своих вершин: А(0; 1), В(1; -4), С (5; 2). 1) Найдите координаты середины D стороны ВС. 2) Докажите, что AD 1 ВС. 3. Сколько общих точек имеют линии, заданные уравнениями (x + 2)2 + (у - 1)2 = 4 и х = -3? 4*. Даны векторы m {-4; 5}, n {-7; 1}, I {6; 8}. Разложите вектор I по векторам тип.

Решебник / Контрольные работы / К-1. Варианты / 3

Другие номера из решебника

Оцените решебник:

4.4/5
Количество оценивших 69