ГДЗ по геометрии 9 класс Зив дидактические материалы Контрольные работы К-1. Варианты - 2

ГДЗ по геометрии 9 класс  Зив дидактические материалы  Контрольные работы К-1. Варианты - 2

Автор: .

Издательство: Просвещение 2015-2023

Тип: Дидактические материалы

Подробный решебник (ГДЗ) по Геометрии за 9 (девятый) класс дидактические материалы - готовый ответ Контрольные работы К-1. Варианты - 2. Авторы учебника: Зив. Издательство: Просвещение 2015-2023.

Условие / Контрольные работы / К-1. Варианты / 2

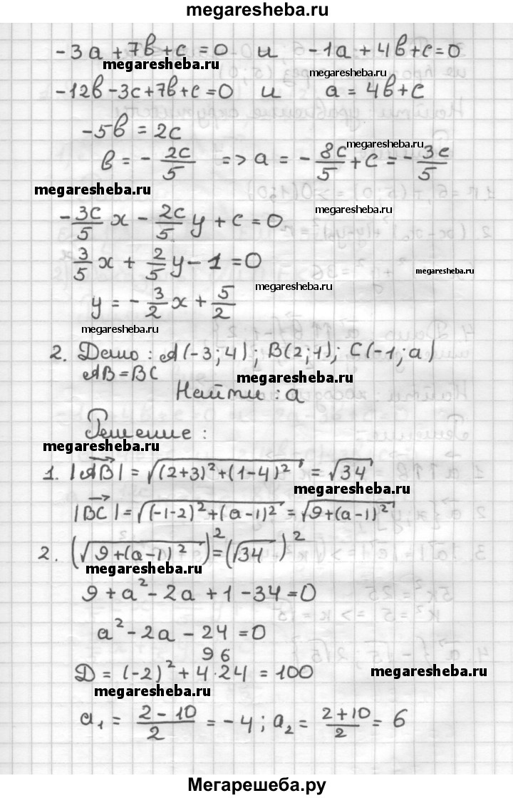
К—1 Вариант 2 1. АВ = 2i -»3/. 1) Найдите координаты точки А, если В(-1; 4). 2) Найдите координаты середины отрезка АВ. 3) Напишите уравнение прямой АВ. 2. Даны точки А(-3; 4), В(2; 1), С(-1; а). Известно, что АВ = ВС. Найдите а. 3. Радиус окружности равен 6. Центр окружности принадлежит оси Ох и имеет положительную абсциссу. Окружность проходит через точку (5; 0). Напишите уравнение окружности. 4*. Вектор а сонаправлен с вектором b {-1; 2} и имеет длину вектора с {-3; 4}. Найдите координаты вектора а.

Решебник / Контрольные работы / К-1. Варианты / 2

Другие номера из решебника

Оцените решебник:

4.4/5
Количество оценивших 69