ГДЗ по геометрии 9 класс Зив дидактические материалы Математические диктанты МД-2. Варианты - 1

ГДЗ по геометрии 9 класс  Зив дидактические материалы  Математические  диктанты МД-2. Варианты - 1

Автор: .

Издательство: Просвещение 2015-2023

Тип: Дидактические материалы

Подробный решебник (ГДЗ) по Геометрии за 9 (девятый) класс дидактические материалы - готовый ответ Математические диктанты МД-2. Варианты - 1. Авторы учебника: Зив. Издательство: Просвещение 2015-2023.

Условие / Математические диктанты / МД-2. Варианты / 1

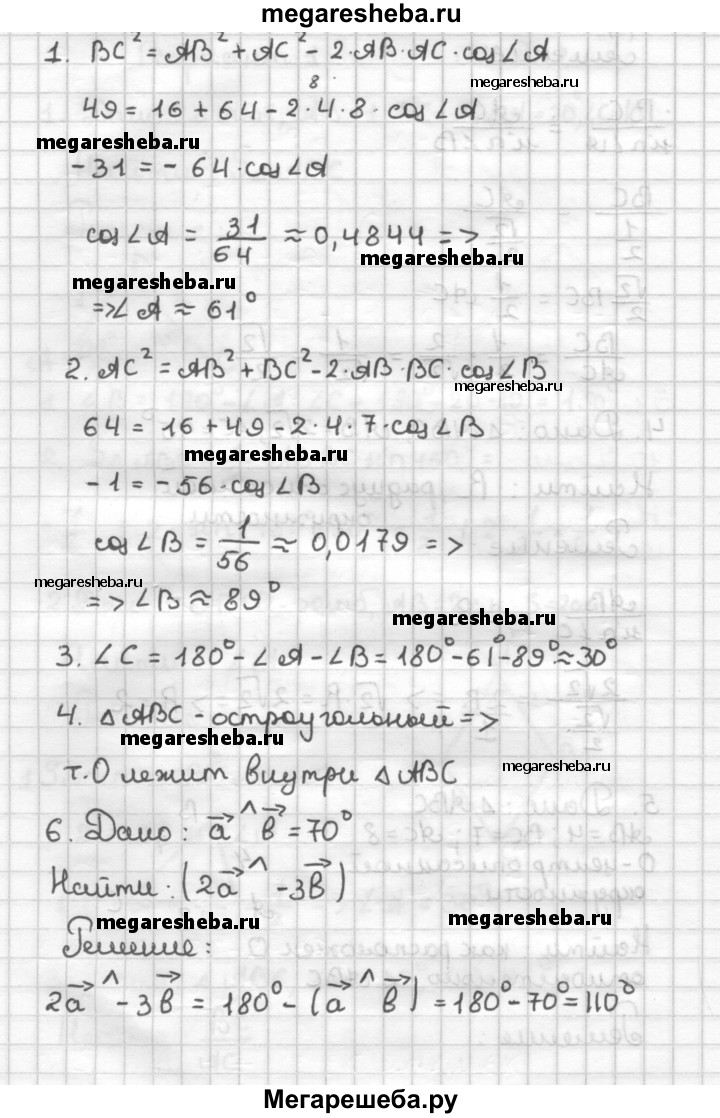
МД—2 ВАРИАНТ 1 1. В треугольнике ABC АВ = 1, ВС = 2, ∠A = 20°, ∠C = - 10°. Найдите площадь треугольника. 2. Сторона ромба равна 2 см, а его площадь — 2 см2. Найдите острый угол ромба. 3. В треугольнике ABC ∠A - 30°, ∠B = 45°. Найдите отношение сторон 4. В треугольнике ABC АВ = 2√2, ∠C = 45°. Найдите радиус окружности, описанной около этого треугольника. 5. Стороны треугольника равны 4, 7, 8. Как по отношению к нему расположен центр описанной окружности? 6. ab — 70°. Найдите угол между векторами 2а и -36. 7. Сторона квадрата ABCD равна 1. Найдите: 1) AC * AD, 2) АС * BD; 3) AD-CB. 8. а {2; -3}, b {1; 1}. Какой угол (острый, прямой или тупой) между этими векторами? 9. Треугольник ABC прямоугольный, ∠C = 90°. Вычислите (ВС -ВА) (АС-АВ). 10. е {x; у}, |е| = 1. Угол между вектором е и положительным направлением оси Ох равен а. Найдите х.

Решебник / Математические диктанты / МД-2. Варианты / 1

Другие номера из решебника

Оцените решебник:

4.4/5
Количество оценивших 69