ГДЗ по геометрии 9 класс Зив дидактические материалы Работы на повторение П-2. Варианты - 6

ГДЗ по геометрии 9 класс  Зив дидактические материалы  Работы на повторение П-2. Варианты - 6

Автор: .

Издательство: Просвещение 2015-2023

Тип: Дидактические материалы

Подробный решебник (ГДЗ) по Геометрии за 9 (девятый) класс дидактические материалы - готовый ответ Работы на повторение П-2. Варианты - 6. Авторы учебника: Зив. Издательство: Просвещение 2015-2023.

Условие / Работы на повторение / П-2. Варианты / 6

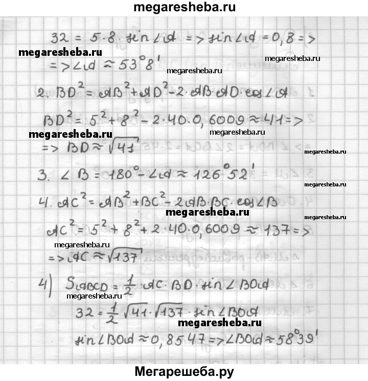
ВАРИАНТ 6 П—2 ABCD — параллелограмм, АВ - 5, AD = 8. Высота параллелограмма равна 4. На стороне ВС выбрана точка Е. 1) Найдите BE так, чтобы трапеция ABED была равнобедренной. 2) Докажите, что в эту трапецию можно вписать окружность, и найдите площадь вписанного в эту трапецию круга. 3) Найдите диагонали параллелограмма. 4) С помощью микрокалькулятора найдите острый угол между его диагоналями.

Решебник / Работы на повторение / П-2. Варианты / 6

Другие номера из решебника

Оцените решебник:

4.4/5
Количество оценивших 69