ГДЗ по химии 11 класс Габриелян Базовый уровень Строение вещества Состав вещества. Смеси - 5

Автор: О.С. Габриелян.
Издательство: Дрофа 2015
Тип: Учебник, Базовый уровень
Подробный решебник (ГДЗ) по Химии за 11 (одиннадцатый) класс - готовый ответ Строение вещества Состав вещества. Смеси - 5. Авторы учебника: Габриелян, Базовый уровень. Издательство: Дрофа 2015.
Похожие ГДЗ
Условие /
Строение вещества / Состав вещества. Смеси / 5
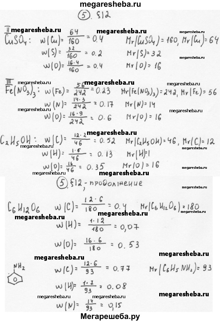
5. Рассчитайте массовые доли каждого из элементов в веществах: сульфат меди (II), нитрат железа (III), этиловый спирт, глюкоза, анилин.
Решебник №1 / Строение вещества / Состав вещества. Смеси / 5

Решебник №2 / Строение вещества / Состав вещества. Смеси / 5
