ГДЗ по геометрии 9 класс Зив дидактические материалы Контрольные работы К-6. Варианты - 3

ГДЗ по геометрии 9 класс  Зив дидактические материалы  Контрольные работы К-6. Варианты - 3

Автор: .

Издательство: Просвещение 2015-2023

Тип: Дидактические материалы

Подробный решебник (ГДЗ) по Геометрии за 9 (девятый) класс дидактические материалы - готовый ответ Контрольные работы К-6. Варианты - 3. Авторы учебника: Зив. Издательство: Просвещение 2015-2023.

Условие / Контрольные работы / К-6. Варианты / 3

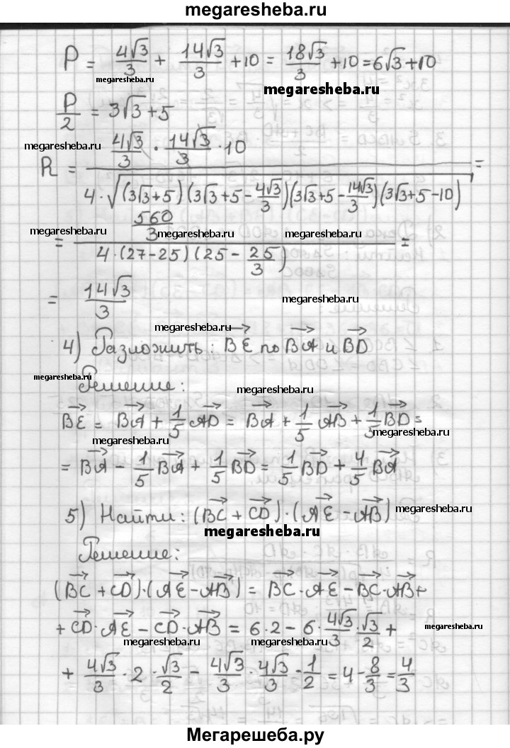
К—6 Вариант 3 В равнобедренной трапеции ABCD основания AD и ВС равны соответственно 10 см и 6 см, ∠A = 30°. 1) Найдите высоту BE и площадь трапеции. 2) Докажите подобие треугольников AOD и ВОС и найдите отношение их площадей, если О — точка пересечения диагоналей трапеции. 3) Найдите радиус описанной около трапеции окружности. 4) Разложите вектор BE по векторам ВА и BD. 5) Вычислите (ВС + CD) * (АЕ - АВ).

Решебник / Контрольные работы / К-6. Варианты / 3

Другие номера из решебника

Оцените решебник:

4.4/5
Количество оценивших 69