ГДЗ по геометрии 9 класс Зив дидактические материалы Работы на повторение П-4. Варианты - 3

ГДЗ по геометрии 9 класс  Зив дидактические материалы  Работы на повторение П-4. Варианты - 3

Автор: .

Издательство: Просвещение 2015-2023

Тип: Дидактические материалы

Подробный решебник (ГДЗ) по Геометрии за 9 (девятый) класс дидактические материалы - готовый ответ Работы на повторение П-4. Варианты - 3. Авторы учебника: Зив. Издательство: Просвещение 2015-2023.

Условие / Работы на повторение / П-4. Варианты / 3

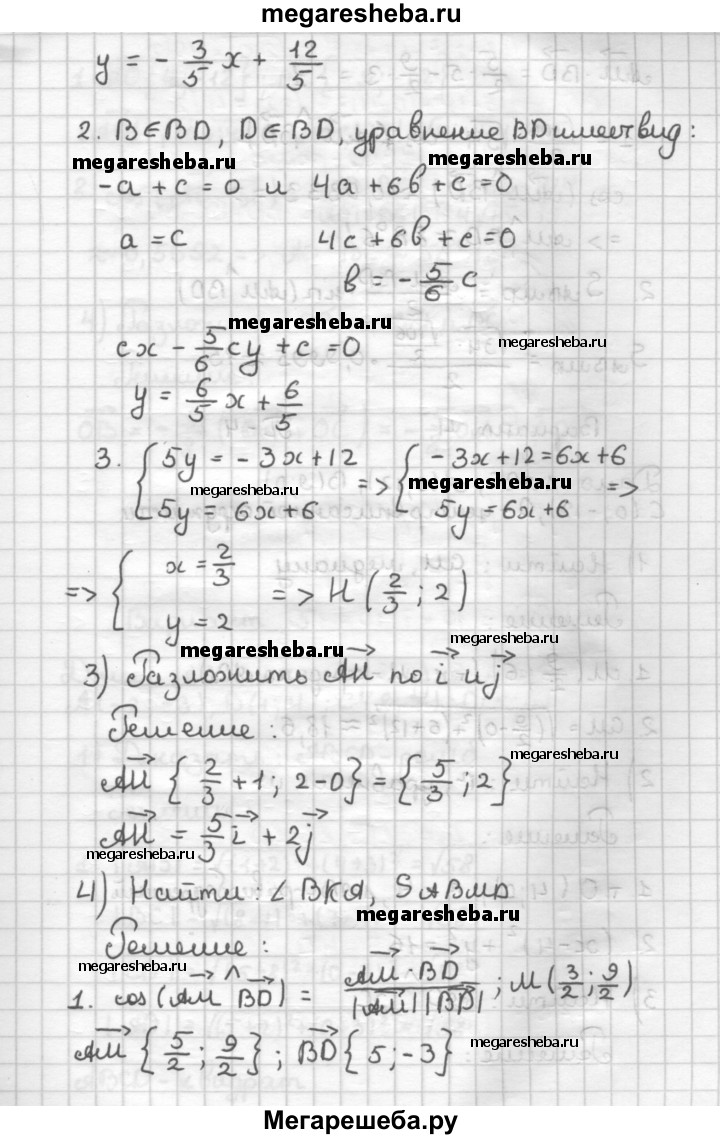
ВАРИАНТ 3 П—4 Трапеция ABCD задана координатами своих вершин: А(-1; 0), Б(-1; 3), С(4; 6), D(4; 0), М — середина ВС. 1) Разложите вектор AM по векторам АВ и AD. 2) Найдите координаты точки Н пересечения прямых АС и BD. 3) Разложите вектор АН по векторам i и j. 4) Найдите острый угол между прямыми AM и BD и площадь четырехугольника ABMD. 63

Решебник / Работы на повторение / П-4. Варианты / 3

Другие номера из решебника

Оцените решебник:

4.4/5
Количество оценивших 69