ГДЗ по геометрии 10‐11 класс Атанасян Базовый и углубленный уровень 11 класс - 409

Авторы: Атанасян Л.С., Бутузов В.Ф., Кадомцев С.Б., Киселева Л.С., Позняк Э.Г..
Издательство: Просвещение 2015-2023
Тип: Учебник, Базовый и углубленный уровень
Подробный решебник (ГДЗ) по Геометрии за 10‐11 (десятый‐одиннадцатый) класс - готовый ответ 11 класс - 409. Авторы учебника: Атанасян, Бутузов, Кадомцев, Киселева, Позняк, Базовый и углубленный уровень. Издательство: Просвещение 2015-2023.
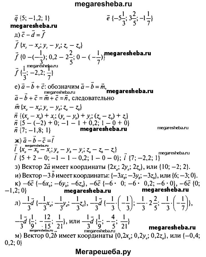
409. Даны векторы а {5;-1; 1}, b {-2; 1; 0}, с{0;0,2;0} и d {-1/3;2 2/2;-1/7} Найдите координаты векторов: a) a - b; б) b - а; в) а - с; г) d - а; д) с - d; e) a - b + c; ж)a- b - c; з) 2а; и)-Зb; к) -6с; л)-1/3d; м) 0,2b.






