Гдз по алгебре за 7 класс Никольский, Потапов ответ на номер № 613

Гдз по алгебре за 7 класс Никольский, Потапов ответ на номер № 613

Авторы: , , , .

Издательство: Просвещение 2015-2022

Тип: Учебник, МГУ - школе

Подробный решебник (ГДЗ) по Алгебре за 7 (седьмой) класс - готовый ответ номер - 613. Авторы учебника: Никольский, Потапов, Решетников, Шевкин. Издательство: Просвещение 2015-2022.

Условие / номер / 613

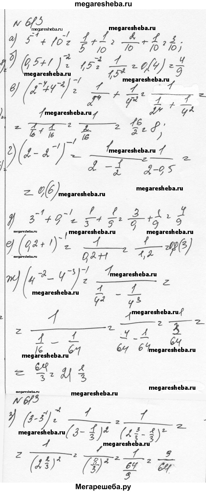
613. Вычислите: а) 5^-1 + 10^-1; б) (0,5 + 1)^-2; в) (2^-4 + 4^-2)^-1; г) (2 - 2^-1)^-1; д) З^-1 + 9^-1; е) (0,2 + 1)^-1; ж) (4^-2-4^-3)^-1; з) (3-3^-1)^-2.

Решебник к учебнику 2022 / номер / 613
Видеорешение / номер / 613
Решебник к учебнику 2015 / номер / 613

Другие номера из решебника

Оцените решебник:

4.4/5
Количество оценивших 2727