Гдз по алгебре за 7 класс Никольский, Потапов ответ на номер № 431

Гдз по алгебре за 7 класс Никольский, Потапов ответ на номер № 431

Авторы: , , , .

Издательство: Просвещение 2015-2022

Тип: Учебник, МГУ - школе

Подробный решебник (ГДЗ) по Алгебре за 7 (седьмой) класс - готовый ответ номер - 431. Авторы учебника: Никольский, Потапов, Решетников, Шевкин. Издательство: Просвещение 2015-2022.

Условие / номер / 431

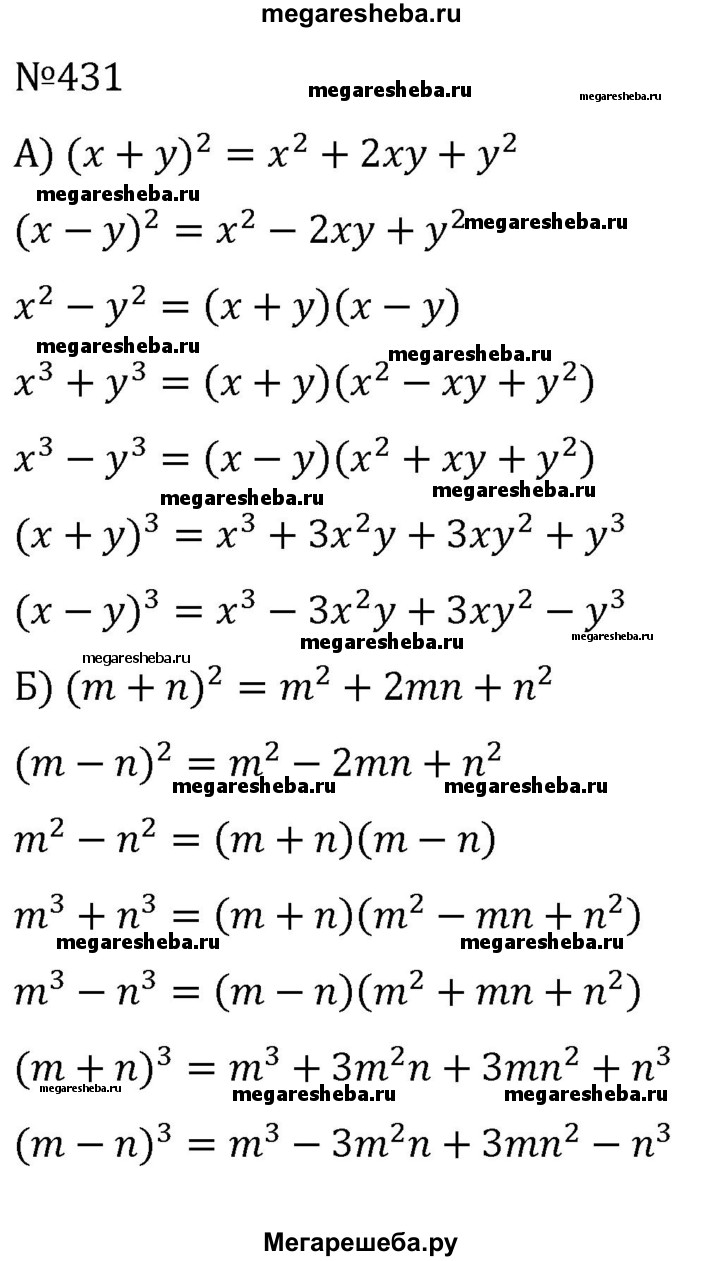
431. Перепишите формулы сокращённого умножения, используя буквы: а) x и у; б) т и п.

Решебник к учебнику 2022 / номер / 431
Видеорешение / номер / 431
Решебник к учебнику 2015 / номер / 431

Другие номера из решебника

Оцените решебник:

4.4/5
Количество оценивших 2727