Гдз по алгебре за 7 класс Никольский, Потапов ответ на номер № 430

Гдз по алгебре за 7 класс Никольский, Потапов ответ на номер № 430

Авторы: , , , .

Издательство: Просвещение 2015-2022

Тип: Учебник, МГУ - школе

Подробный решебник (ГДЗ) по Алгебре за 7 (седьмой) класс - готовый ответ номер - 430. Авторы учебника: Никольский, Потапов, Решетников, Шевкин. Издательство: Просвещение 2015-2022.

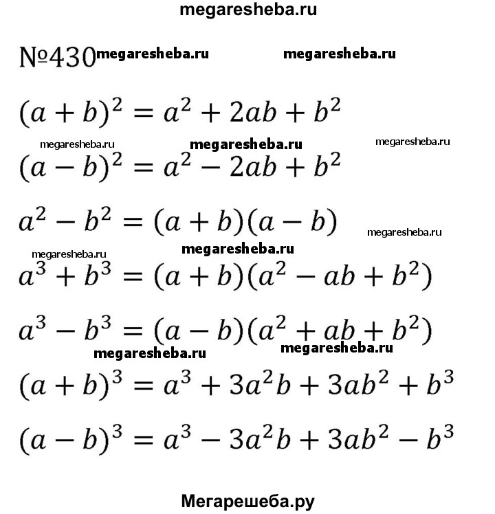
Условие / номер / 430

430. Запишите известные вам формулы сокращённого умножения.

Решебник к учебнику 2022 / номер / 430
Видеорешение / номер / 430
Решебник к учебнику 2015 / номер / 430

Другие номера из решебника

Оцените решебник:

4.4/5
Количество оценивших 2727