ГДЗ по геометрии 9 класс Зив дидактические материалы Самостоятельные работы Вариант 7. Самостоятельная работа - 5

ГДЗ по геометрии 9 класс  Зив дидактические материалы  Самостоятельные работы Вариант 7. Самостоятельная работа - 5

Автор: .

Издательство: Просвещение 2015-2023

Тип: Дидактические материалы

Подробный решебник (ГДЗ) по Геометрии за 9 (девятый) класс дидактические материалы - готовый ответ Самостоятельные работы Вариант 7. Самостоятельная работа - 5. Авторы учебника: Зив. Издательство: Просвещение 2015-2023.

Условие / Самостоятельные работы / Вариант 7. Самостоятельная работа / 5

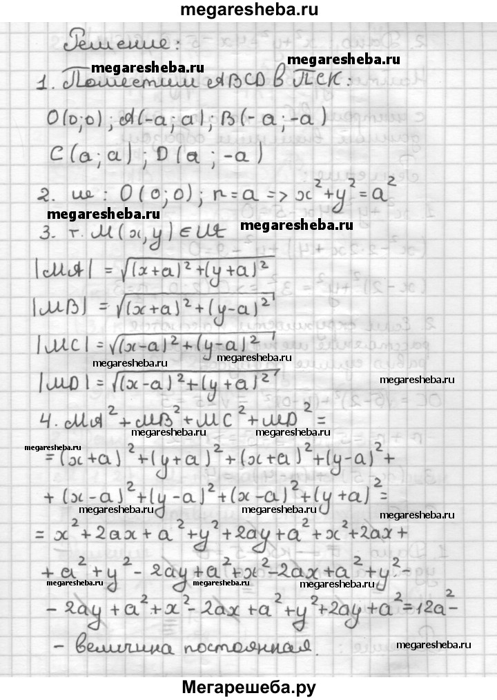
С—5 1. В квадрат вписана окружность. Докажите, что сумма квадратов расстояний от любой точки окружности до вершин квадрата есть величина постоянная. 2. Даны окружность х2 + у2 - 4х - 5 = 0 и точка С(5; 4). Напишите уравнение окружности, имеющей центр в данной точке и касающейся данной окружности внешним образом.

Решебник / Самостоятельные работы / Вариант 7. Самостоятельная работа / 5

Другие номера из решебника

Оцените решебник:

4.4/5
Количество оценивших 69