ГДЗ по геометрии 9 класс Зив дидактические материалы Самостоятельные работы Вариант 6. Самостоятельная работа - 3

ГДЗ по геометрии 9 класс  Зив дидактические материалы  Самостоятельные работы Вариант 6. Самостоятельная работа - 3

Автор: .

Издательство: Просвещение 2015-2023

Тип: Дидактические материалы

Подробный решебник (ГДЗ) по Геометрии за 9 (девятый) класс дидактические материалы - готовый ответ Самостоятельные работы Вариант 6. Самостоятельная работа - 3. Авторы учебника: Зив. Издательство: Просвещение 2015-2023.

Условие / Самостоятельные работы / Вариант 6. Самостоятельная работа / 3

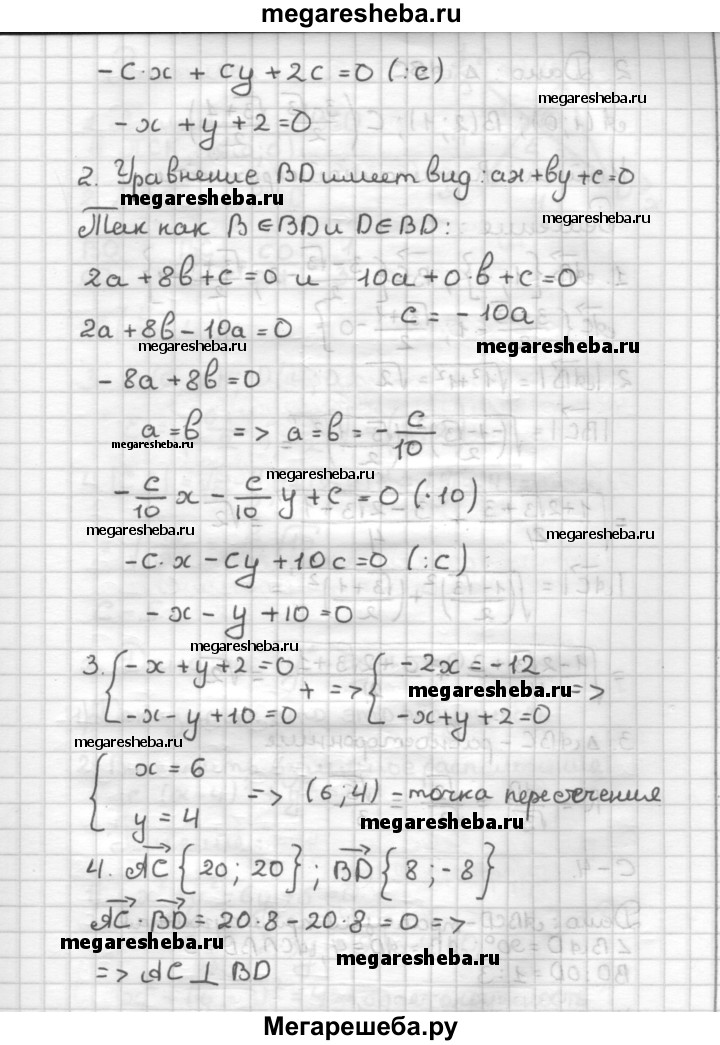
С—3 1. Даны точки А(-4; -6), В(2; 8), С(16; 14) и £>(10; 0). Докажите, что отрезки АС и BD пересекаются и взаимно перпендикулярны. 2. Треугольник задан координатами своих вершин А (1; 0), В (2; 1), С (3-√3/2 ; √3+1/2) Найдите радиус описанной вокруг треугольника окружности.

Решебник / Самостоятельные работы / Вариант 6. Самостоятельная работа / 3

Другие номера из решебника

Оцените решебник:

4.4/5
Количество оценивших 69