ГДЗ по геометрии 9 класс Зив дидактические материалы Самостоятельные работы Вариант 4. Самостоятельная работа - 3

ГДЗ по геометрии 9 класс  Зив дидактические материалы  Самостоятельные работы Вариант 4. Самостоятельная работа - 3

Автор: .

Издательство: Просвещение 2015-2023

Тип: Дидактические материалы

Подробный решебник (ГДЗ) по Геометрии за 9 (девятый) класс дидактические материалы - готовый ответ Самостоятельные работы Вариант 4. Самостоятельная работа - 3. Авторы учебника: Зив. Издательство: Просвещение 2015-2023.

Условие / Самостоятельные работы / Вариант 4. Самостоятельная работа / 3

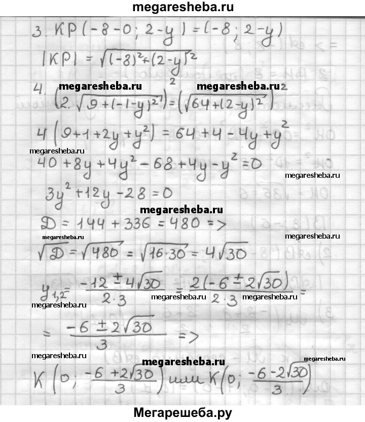
С—3 1. На рисунке 19 OA = OB = 10. Луч OA составляет с отрицательным направлением оси Ох угол в 45°, а точка В удалена от оси Оу на расстояние, равное 8. 1) Найдите координаты точек A и B. 2) Найдите длину отрезка АВ. 3) Найдите длину медианы треугольника АОВ, проведенную из вершины О. 2. Даны точки М(3; -1) и Р(-8; 2). На оси Оу найдите точку, удаленную от точки М на расстояние, в два раза меньшее, чем до точки Р.

Решебник / Самостоятельные работы / Вариант 4. Самостоятельная работа / 3

Другие номера из решебника

Оцените решебник:

4.4/5
Количество оценивших 69