ГДЗ по геометрии 9 класс Зив дидактические материалы Задачи повышенной сложности - 25

ГДЗ по геометрии 9 класс  Зив дидактические материалы  Задачи повышенной сложности - 25

Автор: .

Издательство: Просвещение 2015-2023

Тип: Дидактические материалы

Подробный решебник (ГДЗ) по Геометрии за 9 (девятый) класс дидактические материалы - готовый ответ Задачи повышенной сложности - 25. Авторы учебника: Зив. Издательство: Просвещение 2015-2023.

Условие / Задачи повышенной сложности / 25

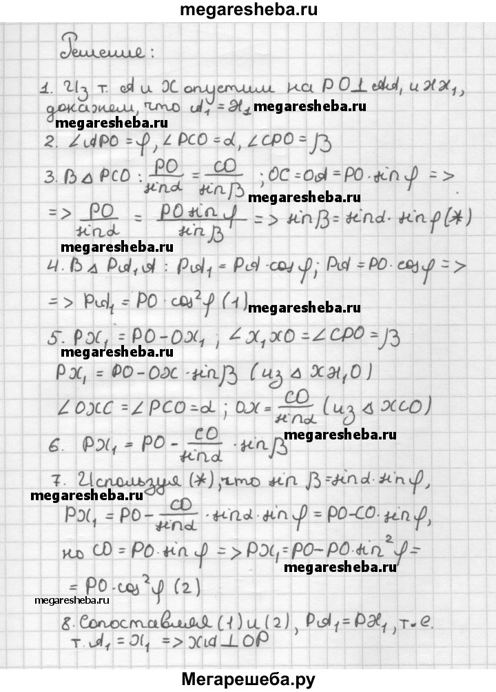
25. Точка Р находится вне окружности с центром О. Прямые l1 и 12 проходят через точку Р, причем 11 касается окружности в точке А, а l2 пересекает окружность в точках В и С. Касательные к окружности в точках В и С пересекаются в точке X. Докажите, что АХ ± РО.

Решебник / Задачи повышенной сложности / 25

Другие номера из решебника

Оцените решебник:

4.4/5
Количество оценивших 69