ГДЗ по геометрии 9 класс Зив дидактические материалы Самостоятельные работы Вариант 2. Самостоятельная работа - 3

ГДЗ по геометрии 9 класс  Зив дидактические материалы  Самостоятельные работы Вариант 2. Самостоятельная работа - 3

Автор: .

Издательство: Просвещение 2015-2023

Тип: Дидактические материалы

Подробный решебник (ГДЗ) по Геометрии за 9 (девятый) класс дидактические материалы - готовый ответ Самостоятельные работы Вариант 2. Самостоятельная работа - 3. Авторы учебника: Зив. Издательство: Просвещение 2015-2023.

Условие / Самостоятельные работы / Вариант 2. Самостоятельная работа / 3

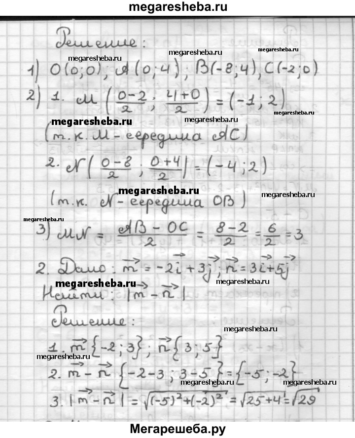
С—3 1. Точка А лежит на положительной полуоси Оу, а точка С — на отрицательной полуоси Ох. 1) Найдите координаты вершин трапеции ОABC, если OA = 4, ОС = 2, АВ = 8. 2) Каковы координаты середин диагоналей трапеции? 3) Чему равно расстояние между этими серединами? 2. m =-2i + 3у, n =3i + 5у. Найдите |m - n|.

Решебник / Самостоятельные работы / Вариант 2. Самостоятельная работа / 3

Другие номера из решебника

Оцените решебник:

4.4/5
Количество оценивших 69