ГДЗ по геометрии 9 класс Зив дидактические материалы Самостоятельные работы Вариант 3. Самостоятельная работа - 7

ГДЗ по геометрии 9 класс  Зив дидактические материалы  Самостоятельные работы Вариант 3. Самостоятельная работа - 7

Автор: .

Издательство: Просвещение 2015-2023

Тип: Дидактические материалы

Подробный решебник (ГДЗ) по Геометрии за 9 (девятый) класс дидактические материалы - готовый ответ Самостоятельные работы Вариант 3. Самостоятельная работа - 7. Авторы учебника: Зив. Издательство: Просвещение 2015-2023.

Условие / Самостоятельные работы / Вариант 3. Самостоятельная работа / 7

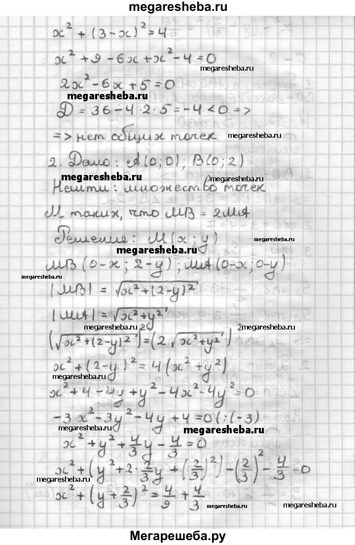
С—7 1. Выясните взаимное расположение прямой х + у - 3 = 0 и окружности х2 + у2 = 4. 2. Даны точки А(0; 0) и В(0; 2). Найдите множество таких точек М, что MB = 2MA.

Решебник / Самостоятельные работы / Вариант 3. Самостоятельная работа / 7

Другие номера из решебника

Оцените решебник:

4.4/5
Количество оценивших 69