ГДЗ по геометрии 9 класс Зив дидактические материалы Самостоятельные работы Вариант 3. Самостоятельная работа - 3

ГДЗ по геометрии 9 класс  Зив дидактические материалы  Самостоятельные работы Вариант 3. Самостоятельная работа - 3

Автор: .

Издательство: Просвещение 2015-2023

Тип: Дидактические материалы

Подробный решебник (ГДЗ) по Геометрии за 9 (девятый) класс дидактические материалы - готовый ответ Самостоятельные работы Вариант 3. Самостоятельная работа - 3. Авторы учебника: Зив. Издательство: Просвещение 2015-2023.

Условие / Самостоятельные работы / Вариант 3. Самостоятельная работа / 3

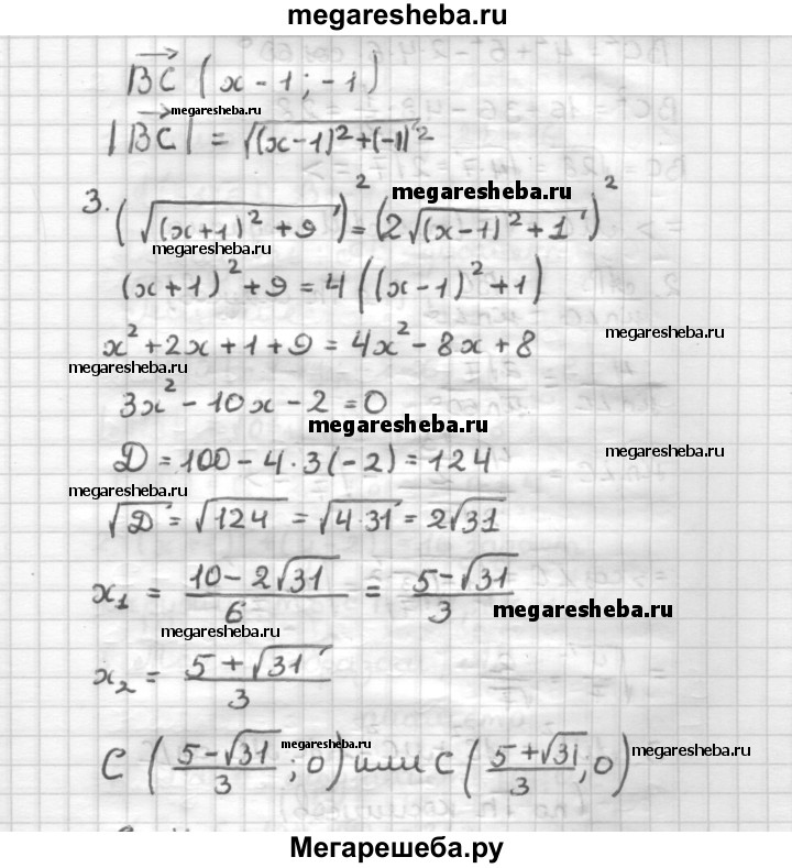
С—3 1. На рисунке 12 OA = 5, OB= 4√2. Луч OB составляет с положительным направлением оси Ох угол в 45°. Точка А удалена от оси Ох на расстояние, равное 3. 1) Найдите координаты точек А и В. 2) Найдите длину отрезка АВ. 3) Найдите длину медианы треугольника АОВ, проведенной из вершины О. 2. Даны точки А (-1; 3) и В(1; 1). На оси Oх найдите точку, удаленную от точки А на расстояние, в два раза большее, чем до точки В.

Решебник / Самостоятельные работы / Вариант 3. Самостоятельная работа / 3

Другие номера из решебника

Оцените решебник:

4.4/5
Количество оценивших 69