Гдз по геометрии 7-9 класс Атанасян, Бутузов ответ на номер № 950

Авторы: Л.С. Атанасян, В.Ф. Бутузов, С.Б. Кадомцев, Э.Г. Позняк, И.И. Юдин.
Издательство: Просвещение 2016-2025
Тип: Учебник
Подробный решебник (ГДЗ) по Геометрии за 7‐9 (седьмой‐девятый) класс - готовый ответ задача - 950. Авторы учебника: Атанасян, Бутузов, Кадомцев, Позняк, Юдин. Издательство: Просвещение 2016-2025.
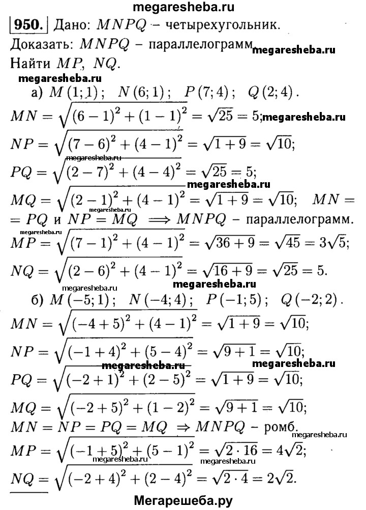
950 Докажите, что четырёхугольник MNPQ является параллелограммом, и найдите его диагонали, если: а) М (1; 1), N (6; 1), Р (7; 4), Q (2; 4); б) М (-5; 1), N (-4; 4), Р (-1; 5), Q (-2; 2).









