Гдз по геометрии 7-9 класс Атанасян, Бутузов ответ на номер № 1215

Авторы: Л.С. Атанасян, В.Ф. Бутузов, С.Б. Кадомцев, Э.Г. Позняк, И.И. Юдин.
Издательство: Просвещение 2016-2025
Тип: Учебник
Подробный решебник (ГДЗ) по Геометрии за 7‐9 (седьмой‐девятый) класс - готовый ответ задача - 1215. Авторы учебника: Атанасян, Бутузов, Кадомцев, Позняк, Юдин. Издательство: Просвещение 2016-2025.
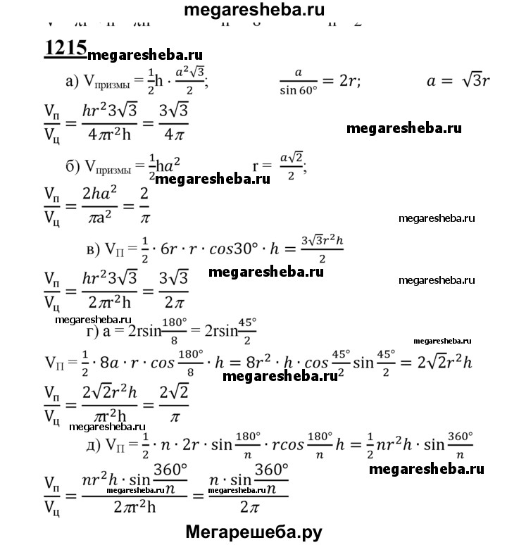
1215 В цилиндр вписана правильная n-угольная призма (т. е. основания призмы вписаны в основания цилиндра). Найдите отношение объёмов призмы и цилиндра, если: а) т = 3; б) т = 4; в) т = 6; г) т = 8; д) т — произвольное натуральное число.






