Гдз по геометрии 7-9 класс Атанасян, Бутузов ответ на номер № 1061

Авторы: Л.С. Атанасян, В.Ф. Бутузов, С.Б. Кадомцев, Э.Г. Позняк, И.И. Юдин.
Издательство: Просвещение 2016-2025
Тип: Учебник
Подробный решебник (ГДЗ) по Геометрии за 7‐9 (седьмой‐девятый) класс - готовый ответ задача - 1061. Авторы учебника: Атанасян, Бутузов, Кадомцев, Позняк, Юдин. Издательство: Просвещение 2016-2025.
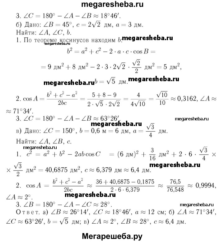
1061 Используя теорему косинусов, решите треугольник ABC, если: а) АВ = 5 см, АС =7,5 см, ∠A = 135°; б) АВ = 2√2 дм, ВС = 3дм, ∠B - 45°; в) АС = 0,6 м, ВС = √3/4 дм, ∠C = 150°.










