Гдз по геометрии 7-9 класс Атанасян, Бутузов ответ на номер № 1048

Гдз по геометрии 7-9 класс Атанасян, Бутузов ответ на номер № 1048

Авторы: , , , , .

Издательство: Просвещение 2016-2025

Тип: Учебник, Базовый уровень

Подробный решебник (ГДЗ) по Геометрии за 7‐9 (седьмой‐девятый) класс - готовый ответ задача - 1048. Авторы учебника: Атанасян, Бутузов, Кадомцев, Позняк, Юдин, Базовый уровень. Издательство: Просвещение 2016-2025.

Условие / задача / 1048

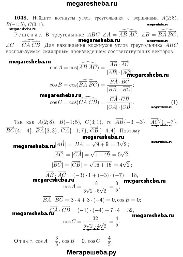
1048 Найдите косинусы углов треугольника с вершинами А (2; 8), В (-1; 5), С (3; 1).

Решебник №1 к учебнику 2016 / задача / 1048
Видеорешение к учебнику 2016 / задача / 1048
Решебник к учебнику 2024 / задача / 1048
Решебник №2 к учебнику 2016 / задача / 1048
Решебник №3 к учебнику 2016 / задача / 1048
Решебник №4 к учебнику 2016 / задача / 1048
Решебник №6 к учебнику 2016 / задача / 1048
Решебник №7 к учебнику 2016 / задача / 1048

Другие номера из решебника

Оцените решебник:

4.4/5
Количество оценивших 4764