Гдз по геометрии 7-9 класс Атанасян, Бутузов ответ на номер № 1019

Авторы: Л.С. Атанасян, В.Ф. Бутузов, С.Б. Кадомцев, Э.Г. Позняк, И.И. Юдин.
Издательство: Просвещение 2016-2025
Тип: Учебник
Подробный решебник (ГДЗ) по Геометрии за 7‐9 (седьмой‐девятый) класс - готовый ответ задача - 1019. Авторы учебника: Атанасян, Бутузов, Кадомцев, Позняк, Юдин. Издательство: Просвещение 2016-2025.
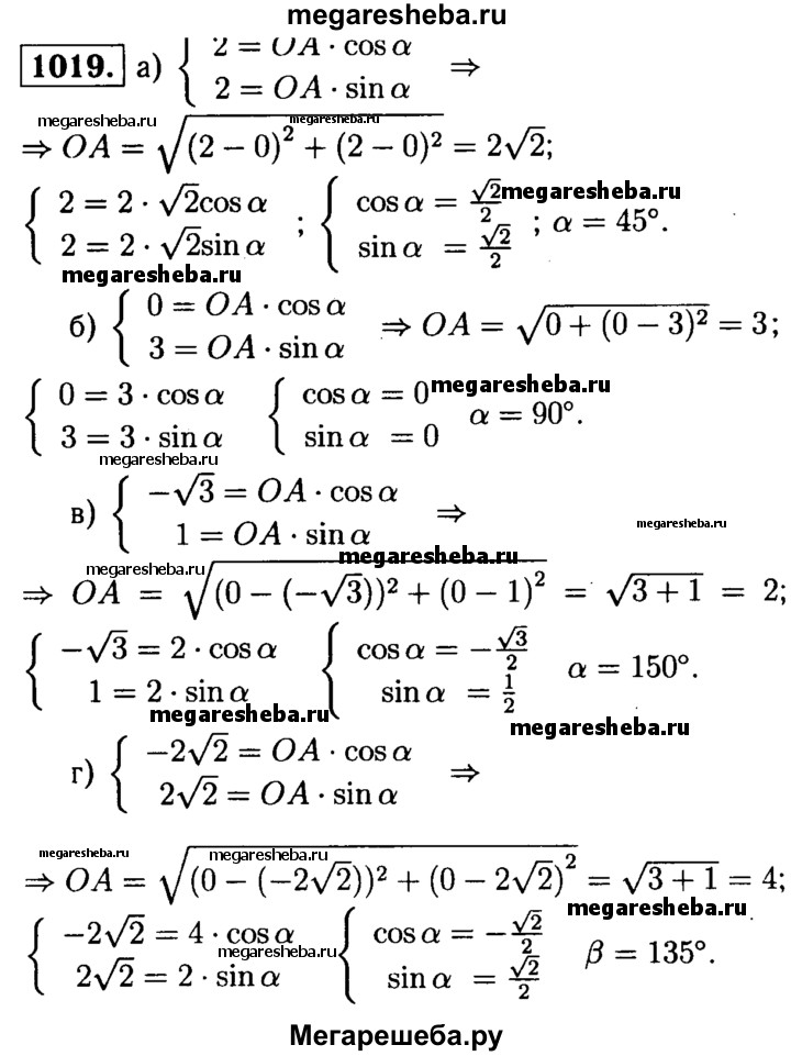
1019 Найдите угол между лучом OA и положительной полуосью Ох, если точка А имеет координаты: а) (2; 2); б) (0; 3); в) (-V3;l); г) (-2^2; 2^2).











