Гдз по геометрии 7-9 класс Атанасян, Бутузов ответ на номер № 1002

Гдз по геометрии 7-9 класс Атанасян, Бутузов ответ на номер № 1002

Авторы: , , , , .

Издательство: Просвещение 2016-2025

Тип: Учебник, Базовый уровень

Подробный решебник (ГДЗ) по Геометрии за 7‐9 (седьмой‐девятый) класс - готовый ответ задача - 1002. Авторы учебника: Атанасян, Бутузов, Кадомцев, Позняк, Юдин, Базовый уровень. Издательство: Просвещение 2016-2025.

Условие / задача / 1002

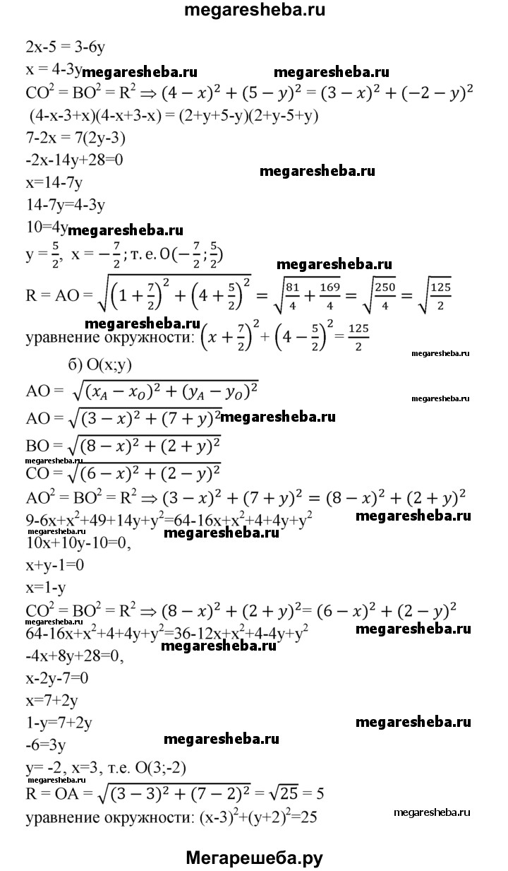
1002 Напишите уравнение окружности, проходящей через три данные точки: а) А (1;-4), В (4; 5), С(3;-2); б) А (3; -7), В (8; -2), С (6; 2).

Решебник №1 к учебнику 2016 / задача / 1002
Видеорешение к учебнику 2016 / задача / 1002
Решебник к учебнику 2024 / задача / 1002
Решебник №2 к учебнику 2016 / задача / 1002
Решебник №3 к учебнику 2016 / задача / 1002
Решебник №4 к учебнику 2016 / задача / 1002
Решебник №7 к учебнику 2016 / задача / 1002

Другие номера из решебника

Оцените решебник:

4.4/5
Количество оценивших 4764