ГДЗ по геометрии 10‐11 класс Атанасян Базовый и углубленный уровень 11 класс - 635

Авторы: Атанасян Л.С., Бутузов В.Ф., Кадомцев С.Б., Киселева Л.С., Позняк Э.Г..
Издательство: Просвещение 2015-2023
Тип: Учебник, Базовый и углубленный уровень
Подробный решебник (ГДЗ) по Геометрии за 10‐11 (десятый‐одиннадцатый) класс - готовый ответ 11 класс - 635. Авторы учебника: Атанасян, Бутузов, Кадомцев, Киселева, Позняк, Базовый и углубленный уровень. Издательство: Просвещение 2015-2023.
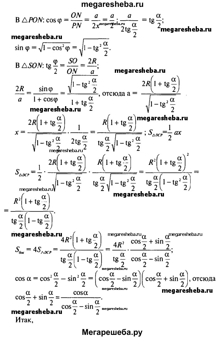
635. Около сферы радиуса R описана правильная четырехугольная пирамида, плоский угол при вершине которой равен α. а) Найдите площадь боковой поверхности пирамиды. б) Вычислите эту площадь при R = 5 см, α = 60°.











