ГДЗ по геометрии 10‐11 класс Атанасян Базовый и углубленный уровень 11 класс - 425

Авторы: Атанасян Л.С., Бутузов В.Ф., Кадомцев С.Б., Киселева Л.С., Позняк Э.Г..
Издательство: Просвещение 2015-2023
Тип: Учебник, Базовый и углубленный уровень
Подробный решебник (ГДЗ) по Геометрии за 10‐11 (десятый‐одиннадцатый) класс - готовый ответ 11 класс - 425. Авторы учебника: Атанасян, Бутузов, Кадомцев, Киселева, Позняк, Базовый и углубленный уровень. Издательство: Просвещение 2015-2023.
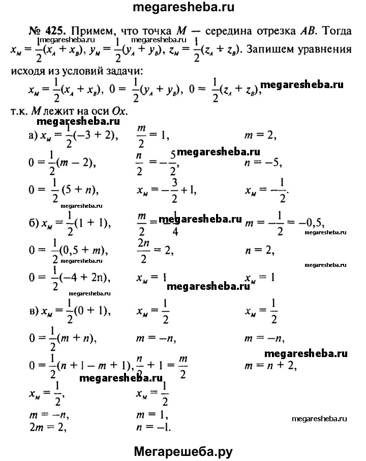
425. Середина отрезка АВ лежит на оси Ох. Найдите тип, если: а) А(-3; m; 5), В (2; -2; n); б) А(1; 0,5; -4), В(1; m; 2n); в) А(0; m; n + 1), В(1; n; -m+ 1); г) А(7 ; 2 m + n; -n), В(-5; -3; m - 3).






