ГДЗ по алгебре 11 класс Кузнецова Повторение. Номера - 269

Авторы: Е.П. Кузнецова, Г.Л. Муравьева, Л.Б. Шнеперман, Б.Ю. Ящин.
Издательство: Народная асвета 2013
Тип: Учебник
Подробный решебник (ГДЗ) по Алгебре за 11 (одиннадцатый) класс - готовый ответ Повторение. Номера - 269. Авторы учебника: Кузнецова, Муравьева, Шнеперман, Ящин. Издательство: Народная асвета 2013.
Условие /
Повторение. Номера / 269
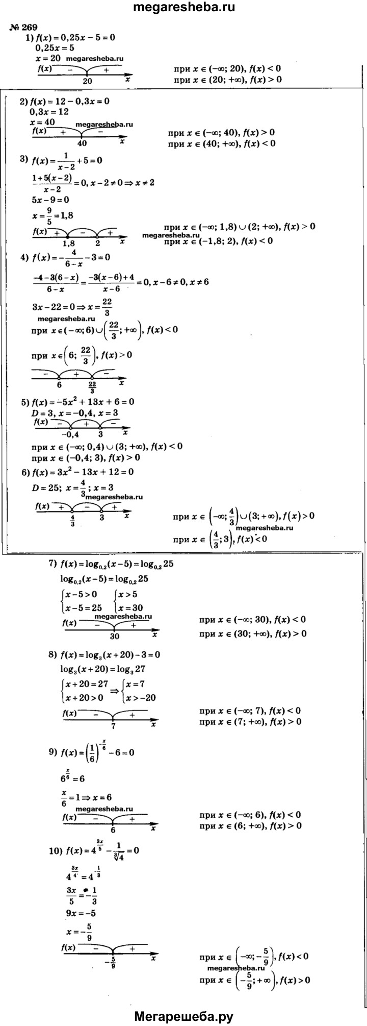
269. Укажите промежутки, на которых принимает положительные (отрицательные) значения функция, заданная формулой:
1-ый решебник / Повторение. Номера / 269

2-ой решебник / Повторение. Номера / 269
