ГДЗ по алгебре 11 класс Кузнецова Повторение. Номера - 221

Авторы: Е.П. Кузнецова, Г.Л. Муравьева, Л.Б. Шнеперман, Б.Ю. Ящин.
Издательство: Народная асвета 2013
Тип: Учебник
Подробный решебник (ГДЗ) по Алгебре за 11 (одиннадцатый) класс - готовый ответ Повторение. Номера - 221. Авторы учебника: Кузнецова, Муравьева, Шнеперман, Ящин. Издательство: Народная асвета 2013.
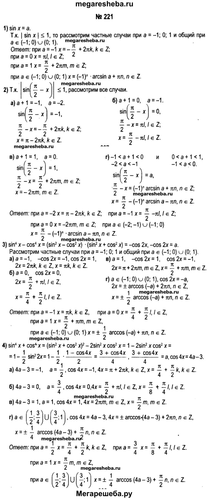
221. Решите уравнение относительно x: 1) sin x = a 2) sin(π/2 – x) = a + 1 3) sin4 x – cos4 x = a 4) sin4 x + cos 4 x = a

