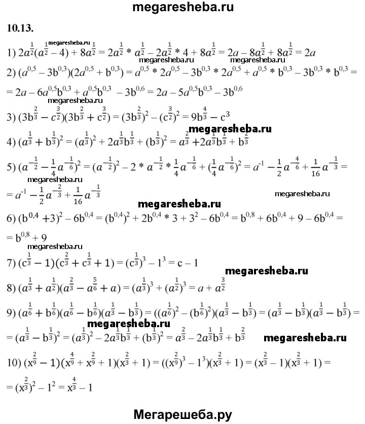
ГДЗ по алгебре 10 класс Мерзляк Базовый уровень §10 - 10.13

ГДЗ по алгебре 10 класс Мерзляк  Базовый уровень §10 - 10.13

Авторы: , , , .

Издательство: Вентана-граф 2013-2022

Тип: Учебник, Базовый уровень

Подробный решебник (ГДЗ) по Алгебре за 10 (десятый) класс - готовый ответ §10 - 10.13. Авторы учебника: Мерзляк, Номировский, Полонский, Якир, Базовый уровень. Издательство: Вентана-граф 2013-2022.

Решебник к учебнику 2022 / §10 / 10.13
Решебник к учебнику 2022 / §10 / 10.13
Решебник к учебнику 2013 / §10 / 10.13

Другие номера из решебника

Оцените решебник:

4.4/5
Количество оценивших 694