Гдз по алгебре за 7 класс Никольский, Потапов ответ на номер № 981

Гдз по алгебре за 7 класс Никольский, Потапов ответ на номер № 981

Авторы: , , , .

Издательство: Просвещение 2015-2022

Тип: Учебник, МГУ - школе

Подробный решебник (ГДЗ) по Алгебре за 7 (седьмой) класс - готовый ответ номер - 981. Авторы учебника: Никольский, Потапов, Решетников, Шевкин. Издательство: Просвещение 2015-2022.

Условие / номер / 981

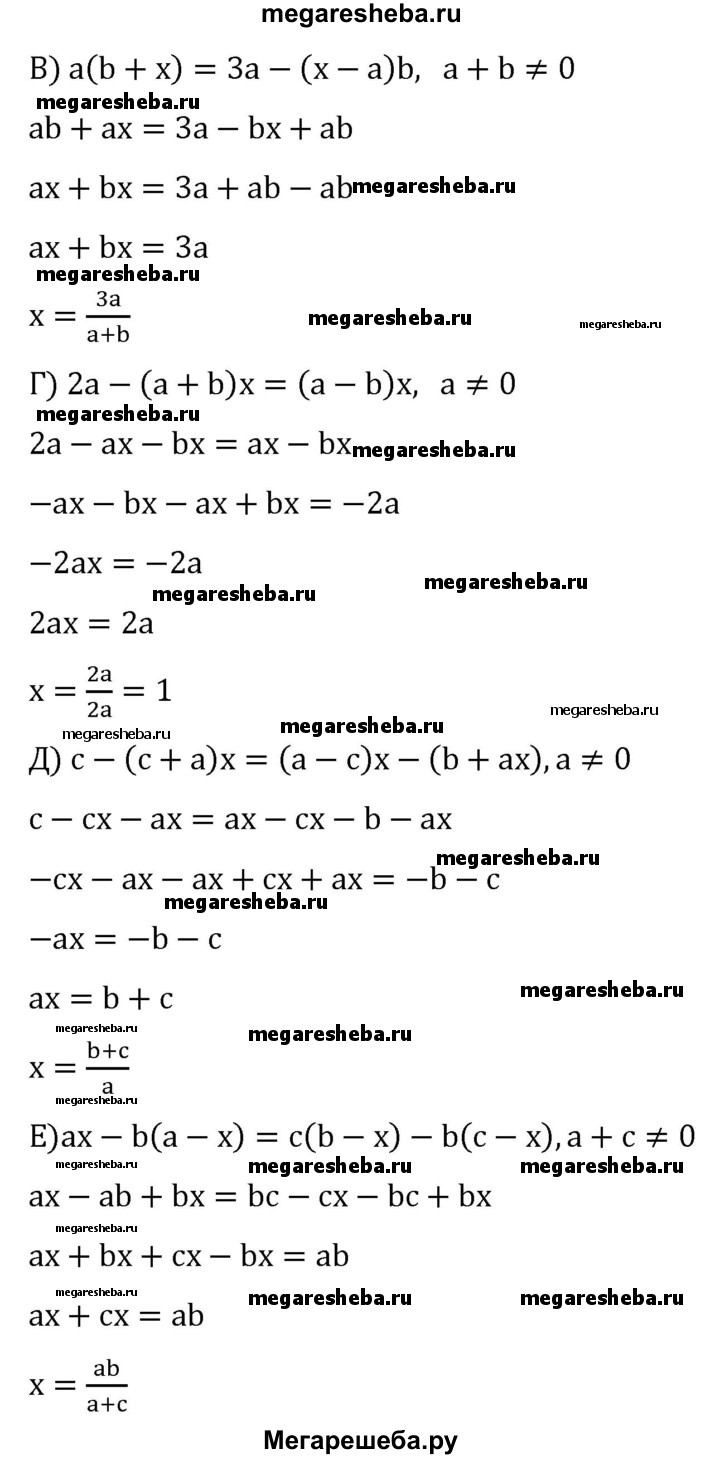
981. а) 6(х - а) = 7 (х + b); б) 5(х + b) = 3(а - х); в) а(b + х) = За - (х - a)b, а + b =/ 0; г) 2а - (а + b)х = (а - b)х, а =/ 0; д) с - (с + а) х = (а - с) х - (b + ах), а =/ 0; е) ах - b(а - х) = с (b - х) - b(с - х), а + с =/ 0.

Решебник к учебнику 2022 / номер / 981
Видеорешение / номер / 981
Решебник к учебнику 2015 / номер / 981

Другие номера из решебника

Оцените решебник:

4.4/5
Количество оценивших 2727