Гдз по алгебре за 7 класс Никольский, Потапов ответ на номер № 821

Гдз по алгебре за 7 класс Никольский, Потапов ответ на номер № 821

Авторы: , , , .

Издательство: Просвещение 2015-2022

Тип: Учебник, МГУ - школе

Подробный решебник (ГДЗ) по Алгебре за 7 (седьмой) класс - готовый ответ номер - 821. Авторы учебника: Никольский, Потапов, Решетников, Шевкин. Издательство: Просвещение 2015-2022.

Условие / номер / 821

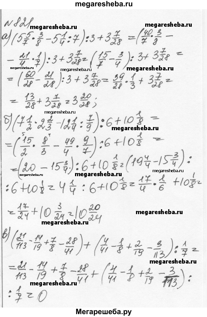
821 а) (5*5/7*3/8 - 5*1/4:7):3+3*7/28; б) (7*1/2*2/3 - 12*1/4:7/9):6+10*1/8; в) (21/113 - 14/19 + 7/8-28/41) + (4/41-1/8+2/19-3/113):1/7.

Решебник к учебнику 2022 / номер / 821
Видеорешение / номер / 821
Решебник к учебнику 2015 / номер / 821

Другие номера из решебника

Оцените решебник:

4.4/5
Количество оценивших 2727