Гдз по алгебре за 7 класс Никольский, Потапов ответ на номер № 699

Гдз по алгебре за 7 класс Никольский, Потапов ответ на номер № 699

Авторы: , , , .

Издательство: Просвещение 2015-2022

Тип: Учебник, МГУ - школе

Подробный решебник (ГДЗ) по Алгебре за 7 (седьмой) класс - готовый ответ номер - 699. Авторы учебника: Никольский, Потапов, Решетников, Шевкин. Издательство: Просвещение 2015-2022.

Условие / номер / 699

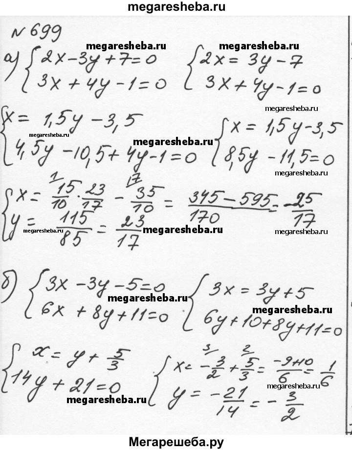
699 а) система 2x-3y+7=0, 3x+4y-1=0; б) система 3x-3y-5=0, 6x+8y+11=0.

Решебник к учебнику 2022 / номер / 699
Видеорешение / номер / 699
Решебник к учебнику 2015 / номер / 699

Другие номера из решебника

Оцените решебник:

4.4/5
Количество оценивших 2727