Гдз по алгебре за 7 класс Никольский, Потапов ответ на номер № 569

Гдз по алгебре за 7 класс Никольский, Потапов ответ на номер № 569

Авторы: , , , .

Издательство: Просвещение 2015-2022

Тип: Учебник, МГУ - школе

Подробный решебник (ГДЗ) по Алгебре за 7 (седьмой) класс - готовый ответ номер - 569. Авторы учебника: Никольский, Потапов, Решетников, Шевкин. Издательство: Просвещение 2015-2022.

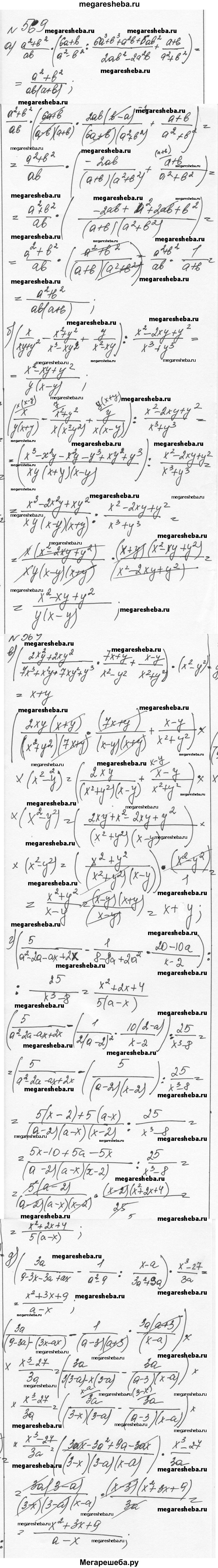
Условие / номер / 569

569 а) (a2+b2)/ab*((6a+b)/(a2-b2):(6a3+b3+a2b+6ab2)/(2ab2-2a2b) + (a+b)/(a2+b2))=(a2+b2)/ab(a+b); б) (x/(xy+y2) - (x2+y2)/(x3-xy2) + y/(x2-xy)) : (x2-2xy+y2)/(x3+y3) = (x2-xy+y2)/y)x-y); в) ((2x2y+2xy2)/(7x3+x2y+7xy2+y3) * (7x+y)/(x2-y2) + (x-y)/(x2+y2))*(x2-y2) = x+y; г) (5/(a2-2a-ax+2x)- 1/(8-8a+2a2) * (20-10a)/(x-2)):25/(x3-8) = (x2+2x+4)/5(a-x); д) (3a/(9-3x-3a+ax) - 1/(a2-9) : (x-a)/(3a2+9a))* (x2-27)/3a - (x2-3x+9)/(a-x).

Решебник к учебнику 2022 / номер / 569
Видеорешение / номер / 569
Решебник к учебнику 2015 / номер / 569

Другие номера из решебника

Оцените решебник:

4.4/5
Количество оценивших 2727