Гдз по алгебре за 7 класс Никольский, Потапов ответ на номер № 514

Гдз по алгебре за 7 класс Никольский, Потапов ответ на номер № 514

Авторы: , , , .

Издательство: Просвещение 2015-2022

Тип: Учебник, МГУ - школе

Подробный решебник (ГДЗ) по Алгебре за 7 (седьмой) класс - готовый ответ номер - 514. Авторы учебника: Никольский, Потапов, Решетников, Шевкин. Издательство: Просвещение 2015-2022.

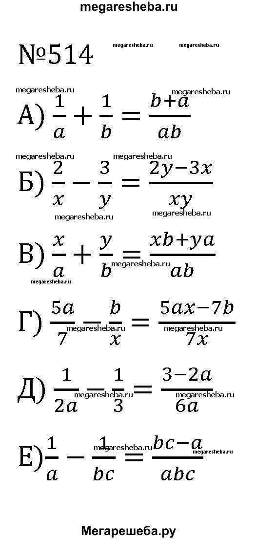
Условие / номер / 514

515 а) 1/a+1/(a+b); б) 1/(a+b) + 1/(a-b); в) 1/(m+n)-1/n; г) 1/(x-y) - 1/(x+y); д) 2/(a-b) + 3/(a+b); е) 4/(p-q) - 3/(p+q); ж) 2a/(a-2b) + 3a/(a+b); з) 3x/(x-y)-2x/(2x-y); и) 5m/(2m-n) - 3m/(n-m); к) 4p/(q-2p)-2p/(2p+q); л) 7/(2x-y) - 5/(y-2x); м) 5/x(x-3y) + (4x+3y)/(3y-x).

Решебник к учебнику 2022 / номер / 514
Видеорешение / номер / 514
Решебник к учебнику 2015 / номер / 514

Другие номера из решебника

Оцените решебник:

4.4/5
Количество оценивших 2727