Гдз по алгебре за 7 класс Никольский, Потапов ответ на номер № 465

Гдз по алгебре за 7 класс Никольский, Потапов ответ на номер № 465

Авторы: , , , .

Издательство: Просвещение 2015-2022

Тип: Учебник, МГУ - школе

Подробный решебник (ГДЗ) по Алгебре за 7 (седьмой) класс - готовый ответ номер - 465. Авторы учебника: Никольский, Потапов, Решетников, Шевкин. Издательство: Просвещение 2015-2022.

Условие / номер / 465

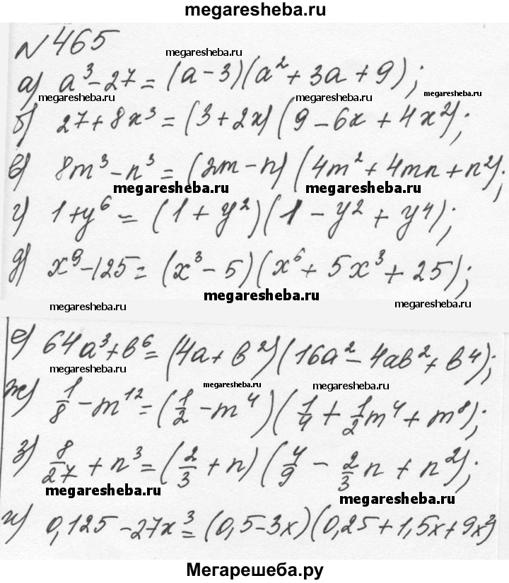
465 а) a3-27; б) 27+8x3; в) 8m3-n3; г) 1+y6; д) x9-125; е) 64a3+b6; ж) 1/8-m12; з) 8/27+n3; и) 0,125-27x3.

Решебник к учебнику 2022 / номер / 465
Видеорешение / номер / 465
Решебник к учебнику 2015 / номер / 465

Другие номера из решебника

Оцените решебник:

4.4/5
Количество оценивших 2727