Гдз по алгебре за 7 класс Никольский, Потапов ответ на номер № 459

Гдз по алгебре за 7 класс Никольский, Потапов ответ на номер № 459

Авторы: , , , .

Издательство: Просвещение 2015-2022

Тип: Учебник, МГУ - школе

Подробный решебник (ГДЗ) по Алгебре за 7 (седьмой) класс - готовый ответ номер - 459. Авторы учебника: Никольский, Потапов, Решетников, Шевкин. Издательство: Просвещение 2015-2022.

Условие / номер / 459

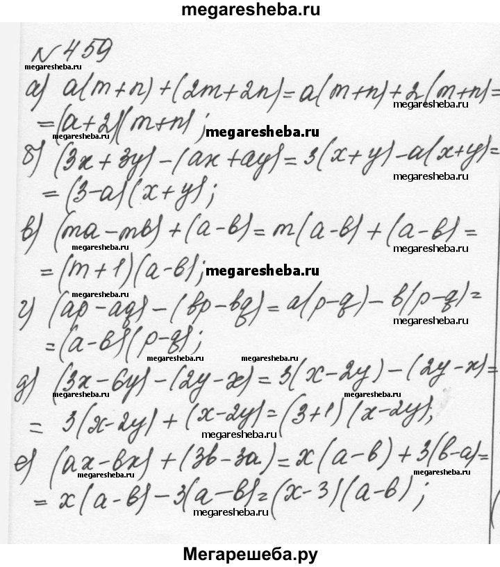
459 а) а(m + n) + (2m + 2n); б) (Зх + 3у) - (ах + ау); в) (mа - mb) + (а - b); г) (ар - aq) - (bp - bq); д) (Зx - 6у) - (2у - х); е) (ах - bx) + (3b - За).

Решебник к учебнику 2022 / номер / 459
Видеорешение / номер / 459
Решебник к учебнику 2015 / номер / 459

Другие номера из решебника

Оцените решебник:

4.4/5
Количество оценивших 2727