Гдз по алгебре за 7 класс Никольский, Потапов ответ на номер № 368

Гдз по алгебре за 7 класс Никольский, Потапов ответ на номер № 368

Авторы: , , , .

Издательство: Просвещение 2015-2022

Тип: Учебник, МГУ - школе

Подробный решебник (ГДЗ) по Алгебре за 7 (седьмой) класс - готовый ответ номер - 368. Авторы учебника: Никольский, Потапов, Решетников, Шевкин. Издательство: Просвещение 2015-2022.

Условие / номер / 368

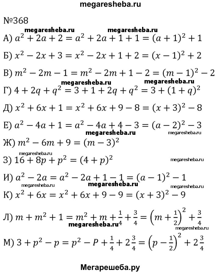
Выделите полный квадрат из многочлена (368—370): 368 а) а2 + 2а + 2; б) х2- 2х + 3; в) m2 - 2m - 1; г) 4 + 2q + q2; д) х2 + 6x + 1; е) а2 - 4а + 1; ж) т2 - 6т + 9; з) 16 + 8р + р2; и) а2 - 2а; к) х2 + 6х; л) m + m2 + 1; м) 3 + р2 - р.

Решебник к учебнику 2022 / номер / 368
Видеорешение / номер / 368
Решебник к учебнику 2015 / номер / 368

Другие номера из решебника

Оцените решебник:

4.4/5
Количество оценивших 2727