Гдз по алгебре за 7 класс Никольский, Потапов ответ на номер № 262

Авторы: С.М. Никольский, М.К. Потапов, Н.Н. Решетников, А.В. Шевкин.
Издательство: Просвещение 2015-2022
Тип: Учебник, МГУ - школе
Подробный решебник (ГДЗ) по Алгебре за 7 (седьмой) класс - готовый ответ номер - 262. Авторы учебника: Никольский, Потапов, Решетников, Шевкин. Издательство: Просвещение 2015-2022.
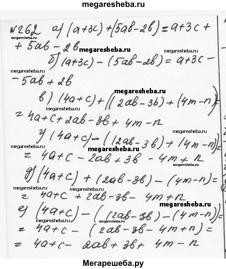
262 Запишите в виде многочлена: а) сумму а + Зс и 5аb - 2b; б) разность а + Зс и 5аb - 2b; в) сумму 4а + с и суммы 2аb - Зb и 4m - n; г) разность 4а + с и суммы 2аb - Зb и 4m - n; д) сумму 4а + с и разности 2аb - Зb и 4m - n; е) разность 4а + с и разности 2аb - Зb и 4m - n.

