ГДЗ по алгебре 7 класс Ершова самостоятельные и контрольные работы алгебра контрольная работа К-7 - Б1

Авторы: А.П. Ершова, В.В. Голобородько.
Издательство: Илекса 2015
Тип: Самостоятельные и контрольные работы
Подробный решебник (ГДЗ) по Алгебре за 7 (седьмой) класс самостоятельные и контрольные работы - готовый ответ алгебра контрольная работа К-7 - Б1. Авторы учебника: Ершова, Голобородько. Издательство: Илекса 2015.
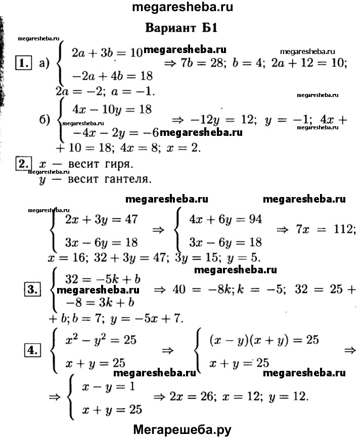
Вариант Б1 1. Решите системы уравнений: а) {2а + 3b = 10, а – 2b = -9; б)2х - 5у = 9, 4х + 2у = 6. 2. 2 гири и 3 гантели весят 47 кг, а 3 гири тяжелее 6 гантелей на 18 кг. Сколько весит гиря и сколько — гантель? 3. График линейной функции проходит через точки А и В. Задайте эту функцию формулой, если: А(-5; 32) и В(3; -8). 4. Разность квадратов двух натуральных чисел равна 25, а сумма этих чисел тоже равна 25. Найдите эти числа.


