ГДЗ по алгебре 7 класс Ершова самостоятельные и контрольные работы алгебра контрольная работа К-3 - В2

Авторы: А.П. Ершова, В.В. Голобородько.
Издательство: Илекса 2015
Тип: Самостоятельные и контрольные работы
Подробный решебник (ГДЗ) по Алгебре за 7 (седьмой) класс самостоятельные и контрольные работы - готовый ответ алгебра контрольная работа К-3 - В2. Авторы учебника: Ершова, Голобородько. Издательство: Илекса 2015.
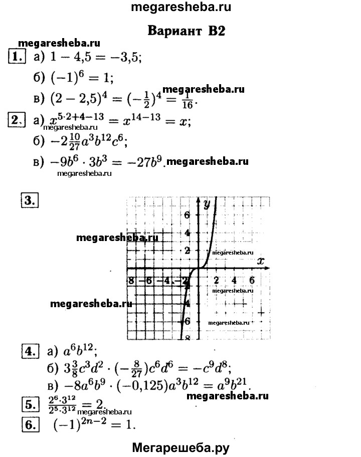
Вариант В2 1. Вычислите. 2. Выполните действия. 3. Постройте график функции y = х2. Найдите все значения k, при которых точка A(k; 1) принадлежит данному графику. 4. Упростите выражения: 5. Используя свойства степени, найдите значение выражения: 18^6/32•27^4 6. Упростите выражение: (-1)2n:(-1):(-1), где n — натуральное число.



