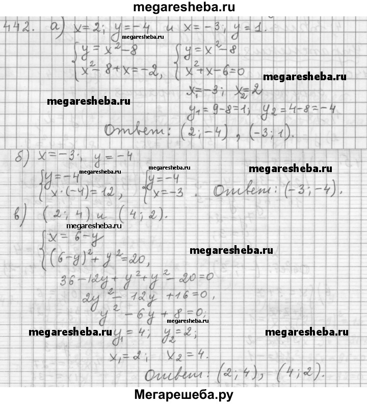
ГДЗ по алгебре 9 класс Дорофеев Базовый уровень глава 3 упражнение - 3.101 (442)

Авторы: Г.В. Дорофеев, С.Б. Суворова, Е.А. Бунимович.
Издательство: Просвещение 2015-2024
Тип: Учебник, Базовый уровень
Подробный решебник (ГДЗ) по Алгебре за 9 (девятый) класс - готовый ответ глава 3 упражнение - 3.101 (442). Авторы учебника: Дорофеев, Суворова, Бунимович, Базовый уровень. Издательство: Просвещение 2015-2024.
Решебник 2024 / глава 3 / упражнение / 3.101 (442)

Решебник 2019 / глава 3 / упражнение / 3.101 (442)

Видеорешение 2019 / глава 3 / упражнение / 3.101 (442)
Решебник 2015 / глава 3 / упражнение / 3.101 (442)

Другие номера из решебника