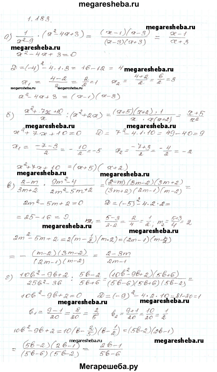
ГДЗ по алгебре 9 класс Арефьева глава 1 упражнение - 1.183
 
        
    
    Авторы: Арефьева И.Г., Пирютко О.Н..
Издательство: Народная асвета 2019
Тип: Учебник
Подробный решебник (ГДЗ) по Алгебре за 9 (девятый) класс - готовый ответ глава 1 упражнение - 1.183. Авторы учебника: Арефьева, Пирютко. Издательство: Народная асвета 2019.
 
                                                             
                                                             
                                                             
                                                            