Гдз по алгебре за 8 класс Никольский, Потапов ответ на номер № 553

Авторы: С.М. Никольский, М.К. Потапов, Н.Н. Решетников, А.В. Шевкин.
Издательство: Просвещение 2015-2022
Тип: Учебник
Подробный решебник (ГДЗ) по Алгебре за 8 (восьмой) класс - готовый ответ номер - 553. Авторы учебника: Никольский, Потапов, Решетников, Шевкин. Издательство: Просвещение 2015-2022.
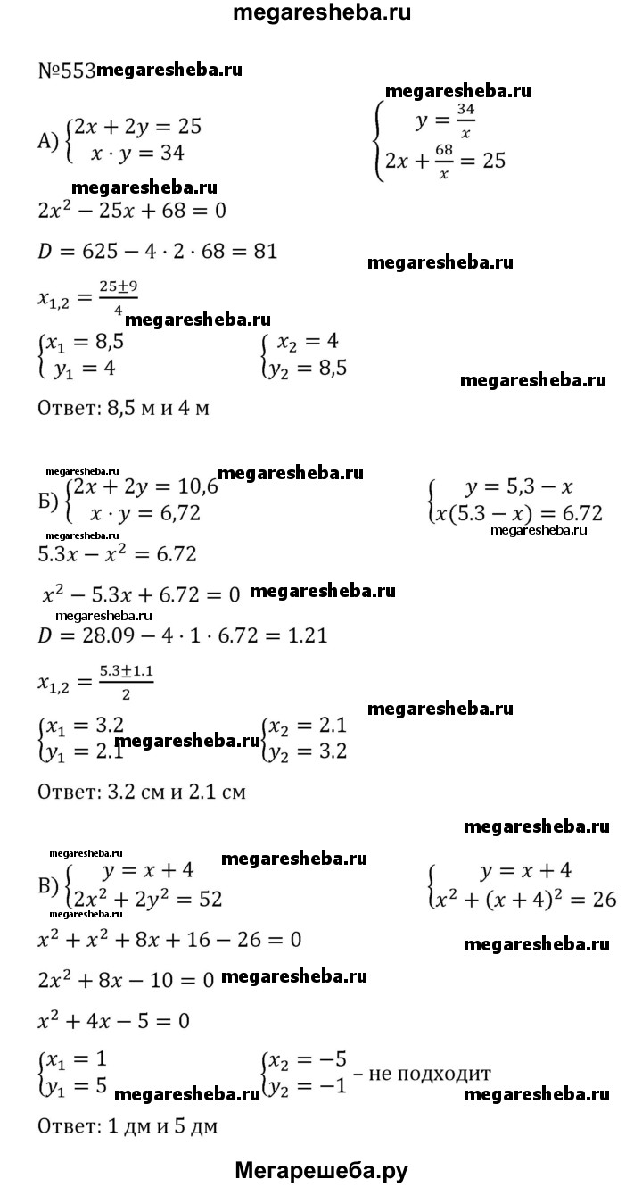
553. а) Периметр прямоугольника равен 25 м, а площадь — 34 м2. Определите стороны прямоугольника. б) Периметр прямоугольника равен 10,6 см, а площадь — 6,72 см2. Определите стороны прямоугольника. в) Одна из сторон прямоугольника на 4 дм больше другой, а сумма площадей четырёх квадратов, построенных на сторонах прямоугольника, равна 52 дм2. Определите стороны прямоугольника. г) Составьте задачу, аналогичную предыдущей задаче, и решите её.



