Гдз по алгебре за 8 класс Никольский, Потапов ответ на номер № 423

Авторы: С.М. Никольский, М.К. Потапов, Н.Н. Решетников, А.В. Шевкин.
Издательство: Просвещение 2015-2022
Тип: Учебник
Подробный решебник (ГДЗ) по Алгебре за 8 (восьмой) класс - готовый ответ номер - 423. Авторы учебника: Никольский, Потапов, Решетников, Шевкин. Издательство: Просвещение 2015-2022.
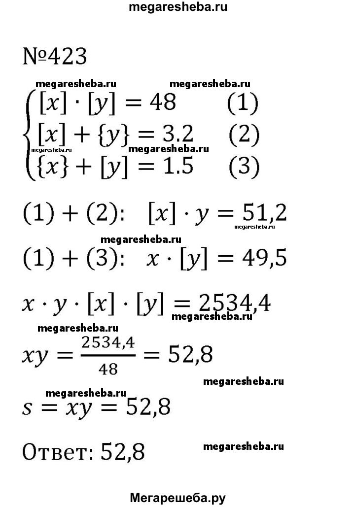
423. Некто измерил стороны прямоугольника. Он умножил целую часть длины на целую часть ширины и получил 48; умножил целую часть длины на дробную часть ширины и получил 3,2; умножил дробную часть длины на целую часть ширины и получил 1,5. Определите площадь прямоугольника.


