ГДЗ по алгебре 7 класс Алимов номер - 99

Авторы: Ш.А. Алимов, Ю.М. Колягин, Ю.В. Сидоров.
Издательство: Просвещение 2015
Тип: Учебник
Подробный решебник (ГДЗ) по Алгебре за 7 (седьмой) класс - готовый ответ номер - 99. Авторы учебника: Алимов, Колягин, Сидоров. Издательство: Просвещение 2015.
Условие /
номер / 99
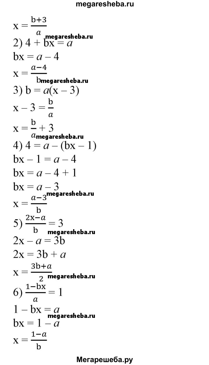
99 Решить уравнение относительно х, если а и b — заданные числа, отличные от нуля: 1) ах-3 = b; 2) 4 + bх = а; 3) b = а(х-3); 4) 4 = а - (bx — 1); 5) 2x-a/b = 3; 6) 1-bx/a = 1.
Решебник №1 / номер / 99


Видеорешение / номер / 99
Решебник №2 / номер / 99


Решебник №3 / номер / 99
