ГДЗ по алгебре 7 класс Алимов номер - 621

Авторы: Ш.А. Алимов, Ю.М. Колягин, Ю.В. Сидоров.
Издательство: Просвещение 2015
Тип: Учебник
Подробный решебник (ГДЗ) по Алгебре за 7 (седьмой) класс - готовый ответ номер - 621. Авторы учебника: Алимов, Колягин, Сидоров. Издательство: Просвещение 2015.
Условие /
номер / 621
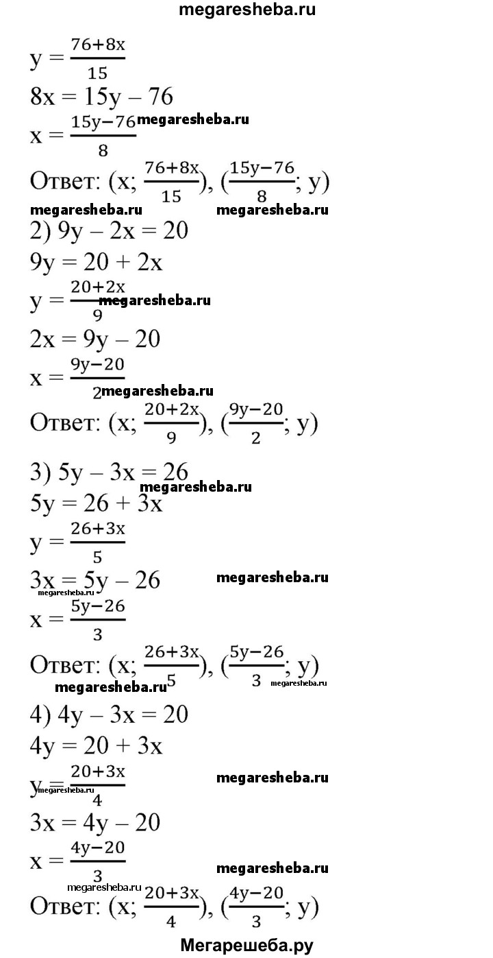
621 Найти все пары (х; у) натуральных чисел, которые являются решениями уравнения: 1) 15у-8х = 76; 2) 9y-2x = 20; 3) 5у-Зх = 26; 4) 4у-3х = 20.
Решебник №1 / номер / 621


Видеорешение / номер / 621
Решебник №2 / номер / 621


Решебник №3 / номер / 621

