ГДЗ по алгебре 7 класс Алимов номер - 615

Авторы: Ш.А. Алимов, Ю.М. Колягин, Ю.В. Сидоров.
Издательство: Просвещение 2015
Тип: Учебник
Подробный решебник (ГДЗ) по Алгебре за 7 (седьмой) класс - готовый ответ номер - 615. Авторы учебника: Алимов, Колягин, Сидоров. Издательство: Просвещение 2015.
Условие /
номер / 615
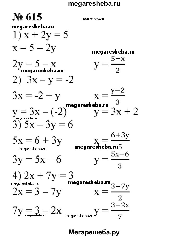
615 Дано линейное уравнение с двумя неизвестными х и у. Выразить сначала х через у, а затем у через х: 1) х + 2у = 5; 2) Зх-у = -2; 3) 5х-3у = 6; 4) 2х + 7y = 3.
Решебник №1 / номер / 615

Видеорешение / номер / 615
Решебник №2 / номер / 615

Решебник №3 / номер / 615
