ГДЗ по алгебре 7 класс Алимов номер - 364

Авторы: Ш.А. Алимов, Ю.М. Колягин, Ю.В. Сидоров.
Издательство: Просвещение 2015
Тип: Учебник
Подробный решебник (ГДЗ) по Алгебре за 7 (седьмой) класс - готовый ответ номер - 364. Авторы учебника: Алимов, Колягин, Сидоров. Издательство: Просвещение 2015.
Условие /
номер / 364
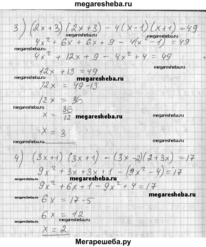
364. Решить уравнение: 1) (x-1)(x+1) = x2-2(x-3); 2) 3(х + 5)-х2 = (2-х)(2 + х); 3) (2x + 3)(2x + 3)-4(x-1)(x + 1) = 49; 4) (3x+1)(3х+1)-(3х-2)(2 + 3х) = 17.
Решебник №1 / номер / 364


Видеорешение / номер / 364
Решебник №2 / номер / 364


Решебник №3 / номер / 364
