ГДЗ по алгебре 7 класс Алимов номер - 347

Авторы: Ш.А. Алимов, Ю.М. Колягин, Ю.В. Сидоров.
Издательство: Просвещение 2015
Тип: Учебник
Подробный решебник (ГДЗ) по Алгебре за 7 (седьмой) класс - готовый ответ номер - 347. Авторы учебника: Алимов, Колягин, Сидоров. Издательство: Просвещение 2015.
Условие /
номер / 347
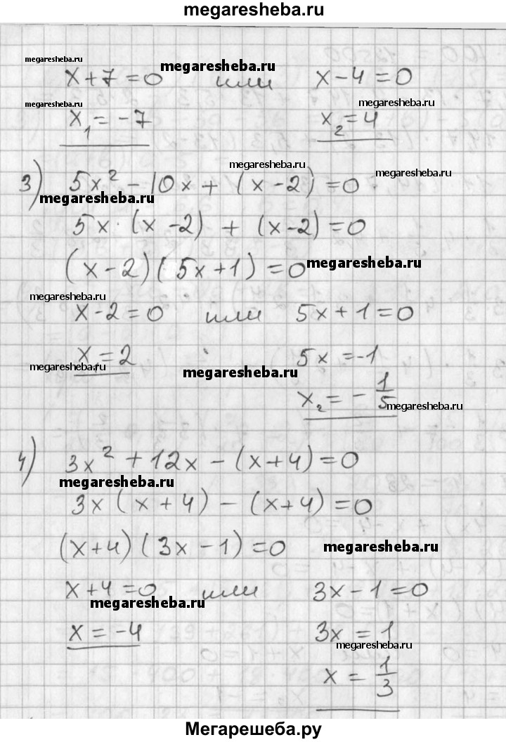
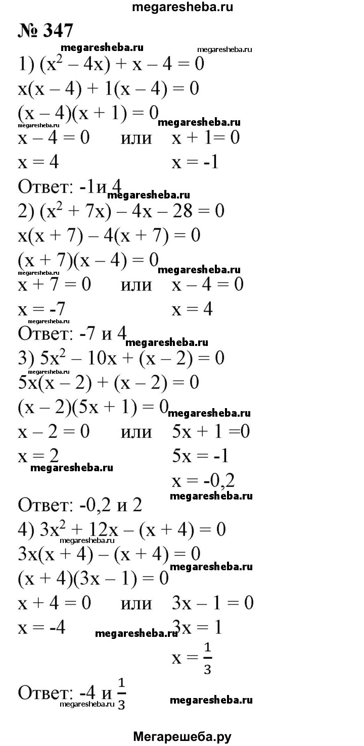
347. Решить уравнение: 1) (x2 - 4х) + x-4 = 0; 2) (x2 + 7x)-4x-28 = 0; 3) 5x2-10x + (x-2) = 0; 4) 3x2 + 12x-(x + 4) = 0.
Решебник №1 / номер / 347


Видеорешение / номер / 347
Решебник №2 / номер / 347

Решебник №3 / номер / 347

